Your curated collection of saved posts and media
Bring new robot testing environments to life with @theworldlabs and Isaac Sim. ๐ค If you can describe a world ๐, you can start testing in it the same day. Learn how to: 1. Export scenes from World Labs' Marble as Gaussian splats 2. Convert to USD using @nvidiaomniverse NuRec 3. Import into NVIDIA Isaac Sim 4. Add a robot and run the simulation Read the guide โก๏ธ https://t.co/0kCSFIxhVC #SIGGRAPHAsia2025
Researchers are using Marble to generate simulation-ready robotics environments (scenes + collider meshes) then bring them into @NVIDIARobotics Isaac Sim for training + evaluation without any manual environment setup. Case Study: https://t.co/PzvcMkl2JI https://t.co/YVlDsQHd0t
๐จ๐บ๐ธ TESLA CONFIRMS 200 MW DATACENTER AT GIGA TEXAS - ENTIRE FACILITY TRAINS OPTIMUS ROBOTS Fire alarm permit confirms Tesla's Cortex 2.0 datacenter pulls 200 megawatts. That's enough power to run a small city. Instead it's training humanoid robots. Construction's happening now at Giga Texas - steel structure standing, roof half complete, operational late 2025. The facility runs thousands of Nvidia GPUs processing video training for Optimus movement, navigation, manipulation. Same AI platform that runs Tesla's Full Self-Driving. Elon's bigger plan: bring a terawatt of compute online. That's equivalent to all electrical power produced in America. For context, his xAI Colossus supercomputer already runs 200,000 Nvidia GPUs. Cortex 2.0 likely matches or exceeds that. The business model mirrors Tesla's FSD subscriptions - sell the robot, charge for AI updates. Market potential per Elon: $25 trillion. Tesla's targeting 1,000 Optimus units for internal use in 2025, external sales by 2026. Here's why 200 MW matters: robotics companies talk about humanoid robots for decades. Tesla's building infrastructure that rivals nations' power grids to actually train them at scale. Not demos. Production runs. Cortex 2.0 isn't speculation anymore. It's steel and concrete going up in Austin right now. Permit dated December 17. Source: AI News Detail, Giga Texas permits, @tesla, @elon, @Tesla_Optimus
๐ฅ Introducing SAGE, an agentic system for long video reasoning on entertainment videosโsports, vlogs, & more. It learns when to skim, zoom in, & answer questions directly. On our SAGE-Bench eval, SAGE with a Molmo 2 (8B)-based orchestrator lifts accuracy from 61.8% โ 66.1%. ๐งต https://t.co/JkGlw3Ad1Z
Agent demos often fail for reasons that are hard to see: unclear tool traces, silent failures, and changes that improve one behavior but break another. Our new course with @Nvidia shows how to use their NeMo Agent Toolkit to surface these issues with OpenTelemetry tracing, run evals that expose brittle reasoning, and deploy workflows with authentication and rate limiting so they behave consistently in real environments. Taught by Brian McBrayer (@Pr_Brian). Enroll now in Nvidia's NeMo Agent Toolkit: Making Agents Reliable: https://t.co/FvQvUuj5lE
OK I had to record a quick video and share a dialog showing my first few tests: https://t.co/800pSOmNmD Dialog: https://t.co/Vev8lHDndn In the video, I show how easy it can be to train a model on a custom task with your own reward function. LMK what I should try next :)
First impressions of Tinker: I can tinker with LLMs again! Really liking it so far - you can focus on the data and *what* you want to DO, not the stress of distributed training, model loading, arcane incantations, implementation differences, library bugs... Amazing work @thinkyma
See how @intelligenceco built Cofounder, an AI chief of staff that turns business documents into agent-ready context at scale. ๐ LlamaParse handles continuous ingestion from @gmail, @SlackHQ, @linear, @notionhq, and @github every 30 minutes - processing PDFs, images, and attachments with agentic OCR ๐ค Two-stage retrieval system combines vector similarity with agent reasoning to filter by time, source, and ownership across multiple business tools ๐ฐ Achieved lower costs and latency compared to managed RAG solutions while avoiding weeks of custom parser development โก Freed engineering time to focus on core differentiator - building agents that can act - instead of document infrastructure "It probably would've taken us a month or more to build a worse document parser ourselves. LlamaParse let us focus on the agents instead of reinventing infrastructure." Read the full case study: https://t.co/1C2qyOAKaz

On the latest Unsupervised Learning, I sat down with @echen. Edwin is the founder and CEO of @HelloSurgeAI, the >$1B revenue infrastructure company behind nearly every major frontier model. Some favorite parts: - Why benchmarks make models worse - Why the model companies are diverging as they optimize for different objectives - The four rare qualities that make elite AI evaluators - The future of the model landscape - Why every company should eventually train their own models Listen here: YouTube: https://t.co/FrCSVWh1v1 Spotify: https://t.co/zgS8MQlYJ5 Apple: https://t.co/qUkHXu7kee

The pattern we keep seeing: Easy metrics โ hard problems later Hard measurements โ real progress The labs winning are the ones willing to do the difficult, expensive work of measuring what actually matters. Full conversation: Youtube - https://t.co/Bv6nvbt5kk Spotify - https://t.co/eL6a3HG8wb Apple - https://t.co/9e7awbFfde

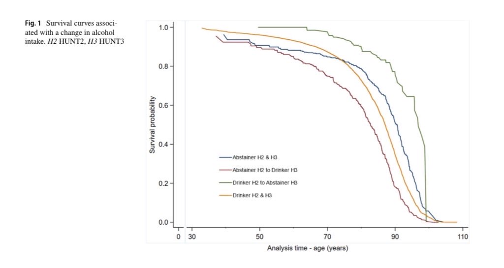
Fitness predicts mortality risk better than alcohol consumption. In this study, consuming any alcohol or increasing alcohol intake over 10 years was associated with a 20โ25% increase in all-cause mortality (vs. abstinence). But being unfit raised mortality risk by 65%, even among non-drinkers! Fitness also protected against alcohol consumptionโfit people who consumed alcohol had the same mortality risk as fit people who abstained.

Excited to announce our latest Gemini 3 family addition --- 3.0 Flash which offers frontier intelligence at scale at a fraction of the cost. โก๏ธโก๏ธโก๏ธ It pushes the pareto frontier of quality vs cost and speed. https://t.co/qahH8cCRoJ https://t.co/KlW0HMc98d
Gemini 3 Flash gives you frontier intelligence at a fraction of the cost. โก Hereโs how itโs built for speed and scale ๐งต
No signs of an end to rapid gains in AI ability at ever-decreasing costs (which is a log scale) yet. I have to update this monthly or more frequently at this point. All AI benchmarks are flawed, but GPQA Diamond has been a pretty good one, though likely close to being maxed out. https://t.co/jAvDz8OczQ
๐ก๐ Horizon is using AI-powered insights to turn complexity into clarity. At #AWS re:Invent, we spoke with the startup about its innovation journey & its backbone of AWS services. Join AWS Activate to accelerate your startup journey. ๐ https://t.co/AKAbwKchgl https://t.co/yhByGNkn5W
Introducing MARS, your first personal AI robot First units shipping this weekend https://t.co/1X1OHn1xfK https://t.co/eDROMc2Ymw
Introducing MARS, your first personal AI robot First units shipping this weekend https://t.co/1X1OHn1xfK https://t.co/eDROMc2Ymw
@nicolaygerold @AmpCode Yo is this documented somewhere? Or is it arbitrary front matter you are putting in the skill? (Or am I misunderstanding completely?) Thanks for sharing https://t.co/LGEKGNRvM1
The @huggingface librarian-bot learned a new trick! Paper recommender now works as an MCP tool - ask Claude for paper recommendations, and it handles the rest! https://t.co/bRYEaTgHAK
The people of UK want to know the truth. ๐ is now the #1 news app in the UK. Trust in censored legacy media is collapsing. https://t.co/zRBYmEzzQD
Anti-mass migration tweet? 18 months in jail Nigerian migrant r*pist? No jail Welcome to the UK. https://t.co/MUMOEVSBNF

A sincere thanks to the team behind Grok and of course, Elon Musk! Italian bureaucracy was a nightmare โ until @grok by xAI saved the day! Over several days and hours of patient back-and-forth chats (thousands of words of detailed text!), he guided me step-by-step through registering my documents on the Ministero dellโInterno portal: every field explained, errors troubleshooted, exact attachment formats. He also helped my friend and host complete the complex long-term stay permit (Permesso di Soggiorno) application โ translations, critical section tips, and pitfalls to avoid. Grok turned overwhelming red tape into something clear and doable. Best AI ever! Thank you! ๐ฎ๐น๐ A sincere thanks to the team behind Grok and of course, Elon Musk
Meta just released sam-audio https://t.co/ThdN1ZcCgB
๐จThis is one of the most disturbing videos of ICE abuse Iโve seen. In Minnesota, ICE agents handcuffed a pregnant woman, forced her onto her stomach, and put their full body weight and knees on her, refusing to let her get up. In the video, you can hear the crowd screaming over and over that she is pregnant. They plead with the agents to stop. The woman is not resisting, not moving, not a threat. It doesnโt matter. The agents ignore them, continue pointing pepper spray at the crowd, and one agent even shoves a woman backward, assaulting her simply for speaking up. People keep begging them to let the pregnant woman off her stomach, to stop putting weight on her body. The agents refuse. The crowd grows louder and more desperate, because they are watching someone who could lose her pregnancy, right in front of them, at the hands of ICE agents. Only after the crowd begins throwing snowballs is the pregnant woman able to get off her stomach. And then it gets worse. The ICE agents begin pepper spraying the crowd. One agent drags the pregnant woman by the arm while she is still helpless and restrained. Pepper spray fills the air, hitting bystanders and the pregnant woman herself as she lies on the ground beneath them. This is not โlaw enforcement.โ This is cruelty. This is reckless endangerment. This is state violence carried out in public, on camera, against a pregnant woman who posed no threat. If this is what theyโre willing to do while being filmed, imagine what happens when no one is watching.
VL-JEPA is out! A non-generative vision-language model, based on JEPA. Different from typical data-space autoregressive VLMs, VL-JEPA is trained to predict continuous embeddings in the latent space. (1/N) https://t.co/9lqMJTmqZI
We're releasing Letta Code, a memory-first coding agent - open source (apache 2.0) - model agnostic - portable agent learning and memory https://t.co/8LPBUxjkc4
Full framework with more examples and the common mistakes that waste time: https://t.co/HgvX7tb9UN
How a @davido & @FOCALISTIC song took over the streets, without even being released ๐ฅ๐ณ๐ฌ๐ฟ๐ฆ https://t.co/jKzIV5K6OL
Breaking: @davido to donate 250 Million Naira to orphanages across Nigeria ๐ณ๐ฌ๐๐พ https://t.co/5NPXZZTBFr

The NATIVEโs ranked list of best features on @davidoโs album โTimelessโ ๐ซ https://t.co/wF51DJJg3h
๐จNEW COVER ALERT ๐จ For the first-ever edition of NATIVE Now! @davido and the โTimelessโ all-stars discuss the triumphs and trials of his awe-inspiring comeback. FULL STORY: https://t.co/YxNgO6qdy4 https://t.co/6moJyVCuy8

DAVIDO for the first issue of NATIVE NOW ๐ cc: @NativeMag https://t.co/aNvajgADn9

Shoutout to the squad @NativeMag for giving me my flowers while I can still smell them. I receive it with love. https://t.co/S0GssDYj2Q

โBefore I went for my break, I had an album ready,โ he confirms. โWhen I got back into recording, new music came out of that as well. I knew it was a classic.โ @davido talks about the authentic approach to his fourth album โTimelessโ ๐ฟ ๐ซ ๐: https://t.co/RkUX07VkSw https://t.co/rLHwK1fxJj
